Modelación COVID-19
Consideraciones para la post-cuarentena resultados de investigación: Modelación COVID-19 - Bogotá
El modelo propuesto es un modelo híbrido. Combina modelación por agentes y ecuaciones diferenciales estocásticas. La modelación por agentes permite incluir aspectos del comportamiento de las personas como por ejemplo su lugar de vivienda, las personas con las que interactúa en su trabajo o escuela y su movilidad por la ciudad. También permite incluir elementos de la infraestructura de una ciudad como lugar donde vive la gente, lugares de trabajo, colegios, hospitales y universidades.
Las ecuaciones diferenciales se usan para entender el progreso de la epidemia, la evolución de la infección y la tasa de hospitalización y muerte. La estocasticidad permite incluir la sensibilidad intrínseca de estos modelos a las condiciones iniciales y la configuración espacial.
Encuentre el informe aquí.
Modelación COVID-19 - Bogotá, junio 1 de 2020
Segundo informe que estudia el posible efecto que pueden tener las medidas de mitigación de la propagación del COVID-19 en Bogotá. Para esto se revisó y mejoró un modelo matemático que estudia la dinámica de contagio en un ambiente urbano realista. Se estudia el período de junio - julio - agosto en detalle para las restricciones estudiadas y se explora la posibilidad de un rebrote (”segunda ola”) para los meses de septiembre - octubre - noviembre.
Encuentre el informe aquí.
Modelo matemático que pronostica la dinámica de la transmisión del SARS-COV2 entre diferentes ciudades y municipios del país.
Este modelo es capaz de rastrear la evolución del brote, estimar la dinámica de los parámetros epidemiológicos en el tiempo y capturar la variación geográfica de la incidencia de la enfermedad. Además, puede ser utilizado para predecir el comportamiento de la enfermedad en diferentes escenarios; por lo cual, es una herramienta valiosa para desarrollar un sistema de vigilancia en tiempo real para la gestión y control del COVID-19.
Autores
Juan M. Cordovez
Departamento de Ingeniería Biomédica
Mauricio Santos
Departamento de Ingeniería Biomédica
Carlos Bravo
Departamento de Ingeniería Biomédica
Jaime Cascante
Departamento de Ingeniería Biomédica
Eco-epidemiología del accidente ofídico en Colombia
El envenenamiento causado por mordeduras de serpiente (Accidente ofídico) es una problemática seria en países tropicales, y afecta principalmente a poblaciones de bajos recursos. El tratamiento existe, y es el suero antiofídico, pero la cobertura en salud pública es baja en países tropicales por su condición de subdesarrollo. Esto hace que el personal médico no esté capacitado en la correcta aplicación del suero, y que incluso el suero no se distribuya en las zonas donde más se necesite. Por esto, es necesario implementar estrategias basadas en la prevención y control del accidente ofídico, que en Colombia deja un saldo de 50 muertos al año y 5000 personas mordidas. Es importante recalcar que estos datos son obtenidos por pacientes que llegan a hospitales, por lo cual no reflejan la realidad en zonas donde las comunidades prefieren usar medicina tradicional por la lejanía de los centros médicos. El principal objetivo del proyecto es el de generar información base sobre el accidente ofídico, como determinar factores de riesgo espaciales y temporales, y generar conocimiento sobre la biología de las serpientes venenosas: para evitar las mordeduras, hay que aprender a convivir. Tras esto, el otro objetivo del proyecto es el de generar modelos predictivos que puedan estimar la totalidad de los casos en Colombia, y monitorear la incidencia temporalmente para poder optimizar la distribución del suero antiofídico en el país.

Figura 1. Bothrops asper es la serpiente que causa la mayoría de mordeduras (~80 %) en Costa Rica y en Colombia. Se le conoce como terciopelo, talla X o mapaná, y se adapta muy bien a la intervención humana.

Figura 2. Distribución estimada para Bothrops asper en Costa Rica, utilizando modelos estadísticos y calibrando con censos de serpientes venenosas realizados en campo.

Figura 3. Regresión lineal entre el modelo propuesto (basado en la distribución estimada para Bothrops asper y en la población humana) para cada cantón de Costa Rica. Se puede ver que el modelo matemático tiene la capacidad de estimar la variación geográfica de la incidencia, por lo cual puede ser utilizado para estimar la incidencia en lugares donde no existan datos de calidad.
Distinciones
Premio al tercer puesto en mejor presentación oral, IV congreso nacional de zoología, Cartagena, Colombia, 2014.
Primer premio al mejor poster, The international society for ecological modelling global conference, Salzburg, Austria, 2014.
Publicaciones
Bravo-Vega CA, Cordovez JM, Renjifo-Ibáñez C, Santos-Vega M, Sasa M (2019) Estimating snakebite incidence from mathematical models: A test in Costa Rica. PLoS Negl Trop Dis 13(12): e0007914. https://doi.org/10.1371/journal.pntd.0007914
Análisis de modelos para la asignación de riñones de donante cadavérico para trasplante
El trasplante de órganos es el tratamiento de elección para el tratamiento de las enfermedades terminales de los órganos, y consiste en el uso de componentes anatómicos de una persona para suplir la necesidad funcional del órgano que falla en el paciente. La asignación de órganos para trasplante a partir de un donante cadavérico - es decir, una persona que ha fallecido, por parada cardiaca o por muerte encefálica - es uno de los elementos de decisión más importantes en el funcionamiento de un programa de trasplante.
En la actualidad, diversos países utilizan diferentes sistemas de asignación, todos basados en criterios comunes, pero que se ajustan a las necesidades de los pacientes en lista de espera y a las características del sistema de salud, con el fin de lograr los mejores resultados y la reducción de los eventos adversos. En Colombia, es el Instituto Nacional de Salud es el órgano encargado de establecer los criterios técnico-científicos de distribución de los componentes anatómicos.
Dada la creciente brecha entre el número de donantes y el número de receptores, es cada vez más importante llevar a cabo una asignación basada en parámetros cuantitativos que reduzca la tasa de eventos como rechazos del injerto, función tardía del injerto y disfunción primaria del injerto, que dan lugar a deterioro funcional de los receptores, perdida del injerto, aumento en los costos en atención en salud, disminución de la vida útil del injerto, requerimiento de retrasplante, entre otras complicaciones.
Por medio de un modelo estocástico basado en agentes, queremos recrear la dinámica de asignación de riñones para trasplante en Bogotá, basados en los datos históricos de esta región, con el fin de asignar pesos a las distintas variables y determinar cuales son los factores fundamentales que pueden modificarse para proponer nuevos esquemas de asignación que puedan reducir la tasa de desenlaces no deseados del trasplante renal.

Figura 1. Modelo de asignación de riñones para trasplante en Bogotá
Investigadores
Juan Manuel Cordovez
Profesor Asociado Uniandes
William Cruz Mususú
Estudiante de Maestría Uniandes
Contacto
William Cruz Mususú
Escribirle al correo aquí.
Dinámicas de una familia de adyuvantes del glifosato en herbicidas usados en fumigación aérea
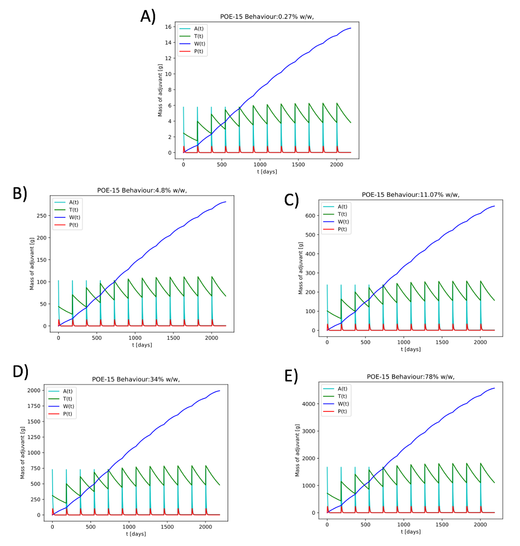
El objetivo de esta investigación es estudiar las dinámicas temporales de los adyuvantes de los herbicidas con los que se fumigan las plantaciones ilegales de coca en Colombia. Con ella se pretende evidenciar la influencia que tienen las concentraciones iniciales de los adyuvantes sobre la permanencia en el ambiente de algunos compuestos químicos.
Modelamos un ambiente fumigado por herbicidas hechos a base de glifosato con un modelo compartimental con 4 compartimentos: Aire (A), tierra (T), agua (W) y personas (P). Se consideró una familia de adyuvantes de glifosato: POE-15.

Figura 1. Dinámicas de acumulación en los 4 compartimentos considerados para distintas concentraciones iniciales del adyuvante POE-15. A) Concentración inicial de POE-15: 0.27% w/w. B) Concentración inicial de POE-15: 4.8% w/w. C) Concentración inicial de POE-15: 11.07% w/w. D) Concentración inicial de POE-15: 34% w/w. E) Concentración inicial de POE-15: 78% w/w.

Figura 2. Comportamiento en el equilibrio de la masa acumulada en cada compartimento del adyuvante POE-15 en función de diferentes concentraciones iniciales del adyuvante.
Investigadores
Juan Manuel Cordovez
Director IBIO
Mauricio Santos
Investigador Postdoctoral
William Valero
Estudiante de Pregrado
Contacto
William Valero
Escribirle al correo aquí.
Modelo matemático de infección por el virus del mixoma en células cancerosas
La viroterapia oncolítica es una alternativa innovadora a las terapias contra el cáncer más convencionales, que se basa en la capacidad de los virus oncolíticos para atacar y destruir específicamente las células tumorales. Esta terapia puede activar la respuesta inmune innata y adaptativa del cuerpo, logrando la destrucción de las células cancerosas por el sistema inmune.
El virus del mixoma es un poxvirus que infecta conejos europeos, puede replicarse en una variedad de líneas celulares de cáncer humano, por tanto un un candidato ideal para la viroterapia oncolítica. Sin embargo, los mecanismos dinámicos entre el virus y las células cancerosas no se comprenden completamente. Los modelos matemáticos son una herramienta útil para proporcionar información relevante sobre la dinámica que rige la interacción entre las células normales y cancerosas y sus parásitos virales.
En este estudio, las células cancerosas de melanoma murino se infectaron con un virus mixoma que expresa GFP (vMyx GFP) a baja multiplicidad de infección y se tomaron imágenes en un microscopio de fluorescencia cada 30 minutos para determinar las células infectadas. Para comprender el proceso de infección, es decir, la susceptibilidad a las tasas de conversión infectadas y los efectos espaciales del cultivo celular, desarrollamos un modelo matemático parametrizado con los experimentos descritos anteriormente que simula espacialmente explícitamente el proceso de infección. El modelo es una formulación estocástica espacialmente explícita de SI que considera las células cancerosas y las partículas virales. Con el modelo pudimos cuantificar y comprender mejor esta compleja red de interacciones. Esperamos que el modelo contribuya a acelerar el desarrollo de una viroterapia oncolítica funcional y efectiva con el virus mixoma.
Este proyecto se desarrolla en colaboración con el Centro de Inmunoterapia, Vacunología y Viroterapia del Instituto de Biodiseño de Arizona State University (ASU).

Figura 1. Cultivo celular de B16f10 de células musculares de células musculares de melanoma.
Investigadores:
Juan Manuel Cordovez
Profesor Asociado Uniandes
Grant McFadden
Profesor ASU
Lina Franco
Egresada Uniandes /Investigadora ASU
Contacto:
Juan Manuel Cordovez
Escribirle al correo aquí.
Acoplamiento de enfermedades infecciosas con dinámica social: cómo la cooperación modula la fuerza de la infección
Las epidemias crean un dilema social ya que la respuesta individual a una enfermedad afecta la dinámica de la enfermedad. Dilemas sociales como el almacenamiento adecuado de agua, el distanciamiento social, el uso adecuado de máscaras, entre otros, constituyen decisiones individuales que afectarán la dinámica de la enfermedad en un nivel macro. La inclusión de decisiones basadas en el comportamiento dentro de los modelos epidemiológicos ha arrojado nuevas perspectivas sobre el modelado de epidemias. De hecho, los estudios han indicado que el curso de una epidemia se puede cambiar sustancialmente al incluir comportamientos adaptativos. En este enfoque, proponemos un modelo que combina la dinámica de la epidemia con la teoría de juegos con el objetivo de capturar estrategias individuales como respuesta a la propagación de la enfermedad y la cooperación de otros individuos. Para representar estas dinámicas individuales, la epidemia y los procesos sociales están incrustados en gráficos heterogéneos que representan las redes sociales del "mundo real". Estas redes constituyen una organización jerárquica, donde el nivel de conectividad de cada individuo (o nodo) sigue una distribución de ley de potencia. En consecuencia, pocos nodos pueden actuar como concentradores, mientras que el resto tendrá pocas interacciones. Con este trabajo, intentamos explorar cómo la cooperación dentro de los individuos modula la fuerza de la infección y, por lo tanto, disminuye la propagación de la epidemia.
Integrantes
Juan Manuel Cordovez
Director BIOMAC
Mauricio Santos
Investigador Postdoctoral
Jaime Cascante
Estudiante de Maestría
Samuel Torres
Estudiante de Pregrado
Una vez se interviene, los detalles importan aún más
Actualmente estamos investigando cómo la estructura de la red de contactos locales dentro de una gran ciudad como Bogotá modula la propagación del SARS-COV-2, y cómo podemos usar esa dinámica de la red de contactos para crear y diseñar indicadores para identificar qué nodos son de alto riesgo y podrían tener un efecto directo en el número de nuevas personas infectadas. De esta manera, mostraremos si las medidas no farmacéuticas específicas enfocadas en el aislamiento podrían tener el mismo éxito que las cuarentenas estrictas ayudando a reducir el riesgo de un brote en Bogotá y manteniendo la actividad económica.
Integrantes
Juan Manuel Cordovez
Director BIOMAC
Mauricio Santos
Investigador Postdoctoral
David Suárez Salazar
Estudiante de Maestría
Modelamiento de la densidad poblacional de Aedes aegypti y el riesgo de infección arboviral en 10 barrios de Ibagué-Tolima (Colombia)
En mi proyecto estamos abordando los desafíos presentes y futuros de las enfermedades transmitidas por mosquitos y el riesgo de infección Arboviral en entornos urbanos en Colombia. Investigando la dinámica del almacenamiento del agua en los hogares creemos que existe un efecto en la producción de mosquitos Aedes aegypti el cual transmite el virus del Dengue, Zika y Chikungunya. Utilizando teoría y métodos en la interfaz de ecología, la biología vectorial de Aedes spp y el modelamiento matemático de los contenedores del agua. Espero responder a la pregunta ¿que factores modulan la dinámica poblacional de los mosquitos Aedes spp. y su asociación con el riesgo epidémico por Arbovirus en la ciudad de Ibagué-Tolima?. Con mis resultados espero proponer un nuevo concepto de almacenamiento de agua que este orientado al control de mosquitos Aedes. Impactando de manera positiva la vida de las personas que viven en areas endemicas de enfermedades arbovirales sin afectar el recurso agua.

Figura 1. Análisis de datos entomologicos de campo e implementación de un modelo matematico para la simulación del almacenamiento de agua en los hogares. A. El nivel de agua y tiempo de almacenamiento determina la transición entre los estadios inmaduros y la abundancia de amosquitos adultos de Aedes aegypti. El modelo matematico simula el nivel de riesgo vectorial de una alberca. Fuente: Simón Levi Gamboa.
Investigadores
Simón Levi Gamboa
Estudiante MSc
Juan Manuel Cordovez
Director de Tesis
Mauricio Santos-vega
Asesor
Contacto
Simón Levi Gamboa
Link al correo AQUÍ.